当前位置:肿瘤瞭望>资讯>正文

秦琼博士:PETRARCA研究提示——围手术期HER2阳性患者应用双靶联合化疗未来大有作为

作者:肿瘤瞭望   日期:2020/8/17 11:35:08  浏览量:14910

肿瘤瞭望版权所有,谢绝任何形式转载,侵犯版权者必予法律追究。

2020年ASCO大会上公布了围手术期Her2阳性胃癌患者曲妥珠单抗联合帕妥珠单抗和化疗,对比FLOT方案化疗的PETRARCA研究。这项研究达到了主要研究终点,pCR率明显提高,后续DFS和OS数据需要更长时间的随访。《肿瘤瞭望》特邀请天津医科大学总医院肿瘤科秦琼博士为我们讲解该研究,以飨读者。

研究简介
 
研究背景:在欧美人群围术期FLOT方案是可切除的食管胃腺癌(EGA)的标准疗法。本试验旨在研究曲妥珠单抗和帕妥珠单抗联合FLOT方案在HER2阳性可切除的食管胃腺癌患者中的治疗效果。
 
研究方法:PETRARCA是一项前瞻性、多中心、随机、研究者主导的Ⅱ/Ⅲ期临床试验。今年ASCO大会上报道Ⅱ期临床试验的结果。本研究纳入的是HER2阳性的可切除的EGA患者(肿瘤分期为cT2及更高,或cN阳性)。患者按1:1的比例随机分入两组,A组:接受术前和术后各4个周期的FLOT方案(多西他赛50mg/m2,奥沙利铂85mg/m2,亚叶酸钙200mg/m2,5-氟尿嘧啶2600mg/m2,每2周为1周期);B组:在A组的基础上加用曲妥珠单抗8/6mg/kg和帕妥珠单抗840mg治疗,每3周为1周期,之后再进行9个周期的曲妥珠单抗和帕妥珠单抗治疗。Ⅱ期临床试验的主要研究终点是病理学完全缓解率(pCR)。重要的次要研究终点是DFS(无病缓解率),OS(总生存)和安全性。(如图1)
 
图1、PETRARCA研究试验设计
 
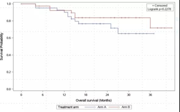
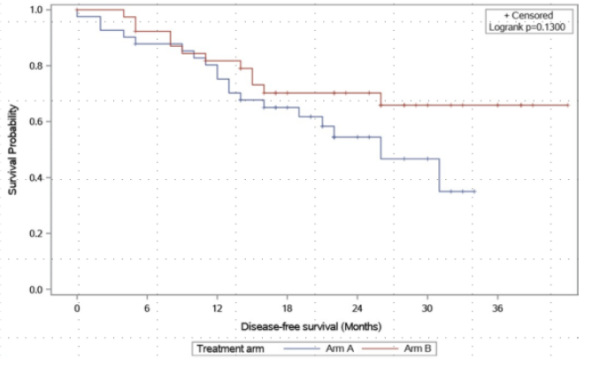
研究结果:该研究共81例患者接受随机分组(A组41例,B组40例)。两组患者的基线特征均衡:全体患者中,男性占79%,中位年龄60岁,肿瘤分期cT3/T4占86%,cN阳性占85%,胃食管交界处肿瘤(GEJ)75%。93%的A组患者和90%的B组患者按计划完成了术前治疗。B组中有更多的患者接受了至少一次的剂量调整(A组44%,B组70%)。主要研究终点:加用曲妥珠单抗和帕妥珠单抗患者的pCR明显提高(A组12%,B组35%,p=0.02,图2)。加用曲妥珠单抗和帕妥珠单抗患者的病理学淋巴结转阴率也更高(A组39%,B组68%)。两组的R0切除率(A组90%,B组93%)和术后并发症比例(A组43%,B组44%)相似。此外,两组的内部死亡率一致(2.5%)。A组的中位DFS是26个月,而B组尚未得到DFS数据,风险比(HR)是0.58,p=0.14。中位随访时间是22个月,但未得到OS数据。A组24个月内DFS和OS比例分别是54%(38%~71%)和77%(63%~90%),B组的24个月内DFS和OS比例分别是70%(55%~85%)和84%(72%~96%),图3、图4。加用曲妥珠单抗和帕妥珠单抗患者发生的3级或更高级的不良事件更多(A组75%,B组85%),主要是腹泻(A组5%,B组41%)和白细胞减少(A组13%,B组23%)。
 
图2、两组患者不同分期pCR状况
 
图3、DFS比较 
 
图4、OS比较
 
研究结论:曲妥珠单抗和帕妥珠单抗联合围术期FLOT方案治疗HER2阳性的可切除的EGA患者可以明显提高pCR和淋巴结转阴率,但出现腹泻和白细胞减少的比例也更高。
 
专家点评
 
1、从最初Ⅱ期研究设计上看,该研究达到了主要的研究终点即pCR明显提高。在研究假设中,对照组pCR率为12%,这和既往FLOT4-AIO研究[1]pCR(16%)比较接近;而试验组预期提高13%,即pCR达到25%,实际上 pCR率在试验组达到35%,远远超过了预期,这也是在胃癌围手术期治疗后我们看到的最高的pCR率。
 
2、单纯化疗组和历史FLOT4-AIO研究[2]相比mDFS比较接近(26个月vs 30月),而双靶联合化疗组mDFS还没有达到。尽管从目前数据看mDFS和mOS两组没有统计学差异,但是从生存曲线趋势来看,在化疗联合双靶治疗中,无论是DFS还是OS,化疗联合双靶治疗具有优势。在目前随访数据不成熟的情况上,我们很难说pCR的提高能不能转化为DFS和OS的获益,因此双靶治疗联合化疗能否改善DFS和OS,期待未来更多数据。
 
3、在该研究证实对于Her2阳性局部进展期胃癌,联合靶向治疗能明显降低T分期和N分期,这对于未来我们转化治疗、降期具有非常大的影响。根治性切除仍是目前胃癌获得长期生存的最重要手段,更强更有效的围手术期治疗可以为手术创造条件。而对于Her2阳性的胃癌患者如果局部分期比较晚,化疗基础上联合双靶治疗,能够更好的降期。同时,这种降期甚至达到pCR,对于追求生活质量,不愿意接受胃癌根治术的患者是不是也可以采取直肠癌TNT治疗模式后观察等待的策略,也是我们未来思考的问题。
 
4、在Ⅱ期研究入组样本量方面,由于JACOB研究[3]阴性结果提前关闭研究,实际入组仅81例,要小于预期100例;样本量的减少,也会影响将来DFS和OS的差异;因此未来我们可能不仅需要看两组之间是否有统计学P值的差异,更要看这种差异是否具有临床的实际意义。
 
5、局部进展期Her2阳性胃癌(包括食管胃结合部腺癌)是否和晚期Her2阳性胃癌一样,仍有很多探索的空间。但是,和Her2阳性乳腺癌相比,Her2阳性胃癌具有更强的异质性,这种异质性可能会影响胃癌抗Her2治疗的效果。在如何更好提高Her2胃癌治疗方面,2019年ASCO-GI上公布曲妥珠单抗+帕博利珠单抗+XELOX方案的治疗模式,在PFS、ORR等方面取得了很大的成功,这种模式可能为我们在围手术期治疗提供更多的借鉴。
 
总之,Her2是目前胃癌研究最多,也是最成熟的靶点之一。围绕Her2靶点无论经典抗Her2的曲妥珠单抗和帕妥珠单抗还是新型的抗体偶联药物DS-8201和RC48,都在积极进行探索,以期未来能在这个靶点发挥更好的作用。临床医生对于Her2这个靶点重要性也越来越重视,通过多次活检组织Her2检测、血液Her2检测,最大程度的发现Her2阳性的患者,进而将这类人群的治疗达到最优。
 
参考文献
[1] Al-Batran S, Homann N, Pauligk C, et al. Effect of Neoadjuvant Chemotherapy Followed by Surgical Resection on Survival in Patients With Limited Metastatic Gastric or Gastroesophageal Junction Cancer[J]. JAMA Oncology, 2017,3(9):1237.
[2] Al-Batran S E, Homann N, Pauligk C, et al. Perioperative chemotherapy with fluorouracil plus leucovorin, oxaliplatin, and docetaxel versus fluorouracil or capecitabine plus cisplatin and epirubicin for locally advanced, resectable gastric or gastro-oesophageal junction adenocarcinoma (FLOT4): a randomised, phase 2/3 trial[J]. Lancet, 2019,393(10184):1948-1957.
[3] Tabernero J, Hoff P M, Shen L, et al. Pertuzumab plus trastuzumab and chemotherapy for HER2-positive metastatic gastric or gastro-oesophageal junction cancer (JACOB): final analysis of a double-blind,  randomised, placebo-controlled phase 3 study[J]. Lancet Oncol, 2018,19(10):1372-1384.
 
专家简介
 
秦琼
医学博士、天津医科大学总医院肿瘤科
中国医促会消化道MDT专委会委员
中国抗癌协会天津胃癌专委会委员
北京癌症防治学会委员
北京防癌学会消化道精准专委会委员
欧洲肿瘤内科学会ESMO会员
发表论文10余篇,参与国际国内多项肿瘤新药Ⅰ-Ⅳ期研究

本内容仅供医学专业人士参考


曲妥珠单抗

分享到: 更多