当前位置:肿瘤瞭望>资讯>快讯>正文

欧阳取长教授:安罗替尼联合艾立布林为HER2阴性局部晚期或转移性乳腺癌患者带来治疗新希望

作者:肿瘤瞭望   日期:2023/10/9 10:55:33  浏览量:9301

肿瘤瞭望版权所有,谢绝任何形式转载,侵犯版权者必予法律追究。

近日,湖南省肿瘤医院欧阳取长教授团队在ESMO OPEN(IF=7.3)发表了题为“A randomized trial of eribulin monotherapy versus eribulin plus anlotinib in patients with locally recurrent or metastatic breast cancer”"的文章。研究表明安罗替尼联合艾立布林作为HER2阴性的局部晚期或转移性乳腺癌患者的有前景的治疗方案,结果值得肯定[1]。本文将对研究成果进行详细解读。

导言:近日,湖南省肿瘤医院欧阳取长教授团队ESMO OPEN(IF=7.3)发表了题为“A randomized trial of eribulin monotherapy versus eribulin plus anlotinib in patients with locally recurrent or metastatic breast cancer”"的文章。研究表明安罗替尼联合艾立布林作为HER2阴性的局部晚期或转移性乳腺癌患者的有前景的治疗方案,结果值得肯定[1]。本文将对研究成果进行详细解读。
 
01
研究背景
 
乳腺癌是2020年发病率最高的癌症之一[2],其中HER2阴性乳腺癌占全部乳腺癌的70%-80%[3],虽然以蒽环或紫杉类为基础的化疗方案可用于乳腺癌的治疗,但对于先前已接受过多种方案治疗且后续选择有限的HER2阴性患者来说,迫切需要新的治疗药物和策略以增加患者治疗机会、提高患者总生存[4]
 
安罗替尼是一种新型抗血管生成小分子酪氨酸激酶抑制剂(TKI),可靶向VEGFR、PDGFR、FGFR、c-Kit等靶点,具有抑制肿瘤血管生成和生长,促进自噬和凋亡的作用[4-8]。在几项II期和III期临床试验中,安罗替尼在包括HER2阴性乳腺癌在内的一系列实体瘤中显示出强大的抗肿瘤疗效[4],同时个案报道也显示安罗替尼联合艾立布林的组合方式具有良好的疗效和安全性[9],然而目前还未有安罗替尼联合艾立布林的随机对照试验进行。
 
艾立布林是一种微管蛋白聚合的抑制剂,基于既往多项Ⅲ期临床研究结果[10-12],艾立布林被确定为经治的转移性乳腺癌患者既定选择方案。艾立布林的第一个Ⅲ期临床试验显示,接受艾立布林治疗对比接受医生选择治疗方案的患者有更长的生存期(13.1个月vs 10.6个月)[12]。因此,本研究旨在探讨安罗替尼联合艾立布林治疗HER2阴性、局部晚期或转移性乳腺癌患者的有效性和安全性。并对几种生物标志物的潜在预测价值也进行了评估。
 
02
研究方法
 
这是一项前瞻性、单中心、开放标签、随机II期临床研究,患者随机(1:1)接受艾立布林单药(1.4 mg/m2,静脉滴注,第1天和第8天),或与安罗替尼联合治疗(固定剂量,10或12 mg,口服,每天1次,连续14天),21天一个周期。主要研究终点为PFS,次要终点是ORR、DCR和安全性。
 
03
研究结果
 
2020年6月至2022年4月共纳入80名患者,并随机接受治疗。其中,40名患者接受艾立布林单药治疗,40名患者接受安罗替尼联合艾立布林治疗(图1)。治疗组之间的基线特征基本平衡(表1)。其中73.8%(59/80)的患者有内脏转移,51.3%(41/80)的患者为HR阳性。接受二线、三线、四线、四线及以上治疗的患者占比分别为31.3%(25/80)、22.5%(18/80)、16.3%(13/80)和30.0%(24/80)。
 
图1.研究信息
 
表1.患者基线特征
 
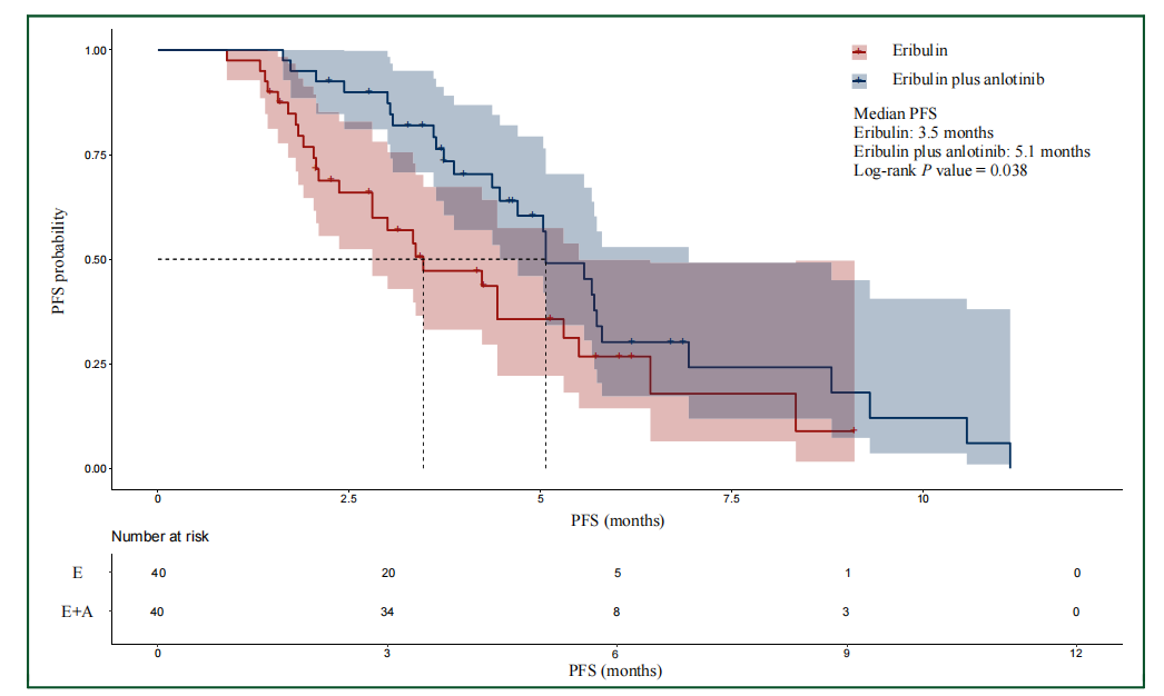
结果显示,安罗替尼联合艾立布林组的中位PFS为5.1个月(95%CI:4.5~6.9个月),而艾立布林单药组患者的中位PFS为3.5个月(95%CI:2.8~5.5个月)(HR 0.56,95%CI:0.32~0.98;P=0.04;图2);对比单药组,联合用药组的ORR(52.5%vs 32.5%;P=0.07)及DCR(92.5%vs 67.5%;P=0.01)均较高。
 
值得关注的是,即使在接受4线以上治疗的乳腺癌患者中,安罗替尼联合艾立布林组仍然有54.5%的ORR及100.0%的DCR。在联合用药组及单药组中,分别有82.5%(33/40)和65.0%(26/40)的患者肿瘤缩小。OS还未达到。
 
图2.接受艾立布林单药治疗或安罗替尼联合艾立布林治疗患者的无进展生存期
 
PFS的事后分析结果显示,在大多数亚组均倾向于联合治疗组疗效更优(图3)。这提示我们对于年轻(<50岁)、一般状态较好(ECOG评分0分)、疾病负荷较重(内脏转移)、后线(≥4线化疗)以及三阴性乳腺癌、HER2低表达患者可能可以从艾立布林+安罗替尼的联合中获益更多。对于HR阳性/HER2阴性的癌症患者,安罗替尼联合艾立布林的中位PFS为4.7个月,单独使用艾立布林的中位PFS为4.2个月(HR 0.80,95%CI:0.35~1.80;P=0.58);对于三阴性乳腺癌患者,联合治疗组中位PFS为5.7个月,单药治疗组为2.8个月(HR=0.39,95%CI:0.02~0.87;P=0.02)。
 
图3:无进展生存期风险比的森林图
 
安全性方面,艾立布林单药组治疗后出现的不良事件发生率为97.5%,安罗替尼联合艾立布林治疗组为100%。两组患者3-4级AE的发生率均为50.0%,其中最常见的是中性粒细胞减少症(单药组n=15,37.5%,联合治疗组n=15,37.5%)、白细胞减少症(单药组n=6,15.0%,联合治疗组n=6,15.0%)和天冬氨酸转氨酶升高(n=3,7.5%,联合治疗组n=7,17.5%)。在80例患者中,只有1例患者停止治疗(艾立布林单药组)。本研究无AE相关的死亡。
 
肿瘤生物标志物分析方面,在基线ctDNA突变分析中,未发现单个基因突变与艾立布林单药或安罗替尼联合艾立布林治疗的疗效显著相关。然而,PEG突变(PIK3CA,ESR1,GATA3中任一突变)与联合治疗组中较高的ORR可能相关(Fisher’s精确检验,P=0.17),而在单药组中与ORR无关。在PEG突变的患者中,联合治疗组100%的患者达到部分缓解,而单药治疗组仅为33%,结果表明PEG的突变似乎预示安罗替尼治疗更敏感。TMB指标在两组中未发现与疗效相关。
 
04
研究总结
 
本研究为中国晚期HER2阴性乳腺癌患者使用安罗替尼联合艾立布林治疗提供了有价值的数据。主要终点已达到:对于HER2阴性、先前接受过蒽环或紫杉类化疗的局部晚期乳腺癌或转移性乳腺癌患者,使用安罗替尼联合艾立布林治疗与艾立布林单药相比,联合用药组的PFS在统计学上有显著提升。另外,联合治疗并未增加不良事件的发生率。
 
参考文献
 
1.Liu B,Liu L,Ran J,Xie N,Li J,Xiao H,Yang X,Tian C,Wu H,Lu J,Gao J,Hu X,Cao M,Shui Z,Hu ZY,Ouyang Q.A randomized trial of eribulin monotherapy versus eribulin plus anlotinib in patients with locally recurrent or metastatic breast cancer.ESMO Open.2023 Jun;8(3):101563.
 
2.Sung H,Ferlay J,Siegel RL,et al.Global cancer statistics 2020:GLOBOCAN estimates of incidence and mortality worldwide for 36 cancers in 185 countries.CA Cancer J Clin.2021;71:209-249.
 
3.Liu B,Yi Z,Guan Y,et al.Molecular landscape of TP53 mutations in breast cancer and their utility for predicting the response to HERtargeted therapy in HER2 amplification-positive and HER2 mutationpositive amplification-negative patients.Cancer Med.2022;11:2767-2778.
 
4.Hu N,Si Y,Yue J,et al.Anlotinib has good efficacy and low toxicity:a phase II study of anlotinib in pre-treated HER-2 negative metastatic breast cancer.Cancer Biol Med.2021;18(3):849-859.
 
5.Lin B,Song X,Yang D,Bai D,Yao Y,Lu N.Anlotinib inhibits angiogenesis via suppressing the activation of VEGFR2,PDGFRb and FGFR1.Gene.2018;654:77-86.
 
6.Sun Y,Niu W,Du F,et al.Safety,pharmacokinetics,and antitumor properties of anlotinib,an oral multi-target tyrosine kinase inhibitor,in patients with advanced refractory solid tumors.J Hematol Oncol.2016;9(1):105.
 
7.Fang F,Yuan Q.Anlotinib inhibits the proliferation,migration and invasion,and induces apoptosis of breast cancer cells by downregulating TFAP2C.Oncol Lett.2022;23(2):46.
 
8.Chen S,Gao Y,Zhu P,et al.Anti-cancer drug anlotinib promotes autophagy and apoptosis in breast cancer.Front Biosci.2022;27(4):125.
 
9.Zheng S,Li H,Lin Y,et al.Treatment response to eribulin and anlotinib in lung metastases from rare perianal adenoid cystic carcinoma:a case report.Anticancer Drugs.2022;33(1):e548-e554.
 
10.Yuan P,Hu X,Sun T,et al.Eribulin mesilate versus vinorelbine in women with locally recurrent or metastatic breast cancer:a randomised clinical trial.Eur J Cancer.2019;112:57-65.
 
11.Kaufman PA,Awada A,Twelves C,et al.Phase III open-label randomized study of eribulin mesylate versus capecitabine in patients with locally advanced or metastatic breast cancer previously treated with an anthracycline and a taxane.J Clin Oncol.2015;33(6):594-601.
 
12.Cortes J,O’Shaughnessy J,Loesch D,et al.Eribulin monotherapy versus treatment of physician’s choice in patients with metastatic breast cancer(EMBRACE):a phase 3 open-label randomised study.Lancet.2011;377(9769):914-923.
 
欧阳取长教授
湖南省肿瘤医院乳腺内科主任,主任医师,医学博士,硕士研究生导师
中国临床肿瘤学会(CSCO)乳腺癌专家委员会常务委员
中国抗癌协会乳腺癌专业委员会委员
中国医师协会肿瘤专业委员会乳腺癌学组常务委员
国家抗肿瘤药物临床应用监测专家委员会委员
国家肿瘤质控中心乳腺癌专家委员会委员
中国研究型医院学会精准医学与肿瘤MDT专业委员会乳腺学组副组长
湖南省医学会肿瘤内科学专业委员会主任委员兼乳腺癌学组组长
湖南省妇幼保健与优生优育协会妇科与乳腺肿瘤防治专业委员会主任委员
Journal of Clinical Oncology中文版编委
《肿瘤药学》副主编
 
刘斌亮博士
湖南省肿瘤医院乳腺内科住院医师
北京协和医学院/中国医学科学院肿瘤医院博士
北京健康促进会肿瘤心脏病学专家委员会委员
Cancer Innovation、The Innovation杂志青年编委
BMC Medicine、Heliyon等多家杂志审稿人
2022年获华夏医学科技二等奖
现以第一作者发表各类论文19篇,其中SCI10篇,累计影响因子59.6分
参编《肿瘤心脏病学》等著作2部,获得国家发明专利授权2项

本内容仅供医学专业人士参考


乳腺癌

分享到: 更多